Content
- Characteristics of Spatial Interaction Data
- Spatial Interaction Models
- Unconstrained
- Origin constrined
- Destination constrained
- Doubly constrained
School of Computing and Information Systems,
Singapore Management University
15 Mar 2023
Spatial interaction or βgravity modelsβ estimate the flow of people, material, or information between locations in geographical space.

Note
Spatial interaction models seek to explain existing spatial flows. As such it is possible to measure flows and predict the consequences of changes in the conditions generating them. When such attributes are known, it is possible to better allocate transport resources such as conveyances, infrastructure, and terminals.
Representing mobility as a spatial interaction involves several considerations:

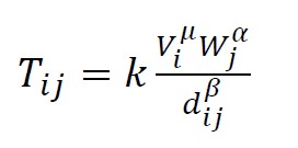
The general formula (also known as unconstrained):

The O-D Matrix

and distance matrix:


The estimated O-D matrix:

and the calculation T11

In the Origin Constrained Model,

The O-D Matrix

and distance matrix:


The estimated O-D matrix:

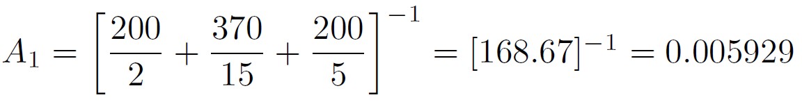
A1 is calculated as shown below:

Hence, T11 is calculated as shown below:


The O-D Matrix

and distance matrix:


The estimated O-D matrix:

B1 is calculated as shown below:

Hence, T11 is calculated as shown below:


Note
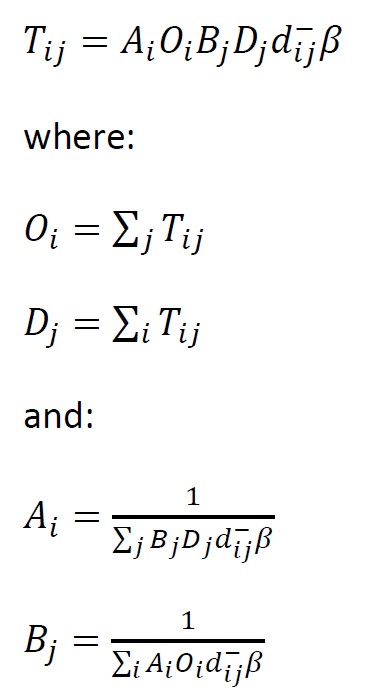
Note that the calculation of π΄π relies on knowing π΅π and the calculation of π΅π relies on knowing π΄π β something of a conundrum to which the solution is elegantly described by Senior (1979), who sketches out a very useful algorithm for iteratively arriving at values for π΄π and π΅π by setting each to equal 1 initially and then continuing to calculate each in turn until the difference between successive iterations of the π΄π and π΅π values is small enough not to matter.
The O-D Matrix

and distance matrix:


The estimated O-D matrix:

Hence, T11 is calculated as shown below:

Notice that A1 and B1 are computed by using computer.